cancel
Showing results for 
Search instead for 
Did you mean: 

STM32H753 vs STM32H743: Can I substitute?

PMath.4
Senior III

I need to get some PCBs made by JLC but they are continually out of stock of the STM32H743IIT6 which is my target processor. They do however have the STM32H753IIT6. Is there any reason I can't substitute these to run identical firmware?

Thanks

This discussion is locked. Please start a new topic to ask your question.
1 ACCEPTED SOLUTION

Accepted Solutions
waclawek.jan
Super User

Isn't that documented in the RM?

 0693W000000X7qtQAC.png

JW

View solution in original post

8 REPLIES 8

Basically same die, with HASH/CRYP units enabled. Watch your import/export docs and requirements.

Tips, Buy me a coffee, or three.. PayPal Venmo
Up vote any posts that you find helpful, it shows what's working..
PMath.4
Senior III

Clive thanks for the confirmation.

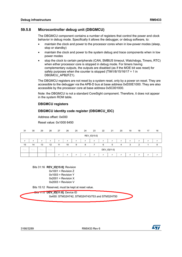
Do you know if it has the same chip id? I use HAL_GetREVID (DBGMCU->IDCODE) to distinguish between 400 and 480MHz parts

  if(HAL_GetREVID()==0x1003)__HAL_PWR_VOLTAGESCALING_CONFIG(PWR_REGULATOR_VOLTAGE_SCALE1);
  else __HAL_PWR_VOLTAGESCALING_CONFIG(PWR_REGULATOR_VOLTAGE_SCALE0);

Thanks

peter

waclawek.jan
Super User

Isn't that documented in the RM?

 0693W000000X7qtQAC.png

JW

Yes, die and stepping information should be consistent.

ST has particularly poor management of SKUs held by distributors and segregation of new vs old steppings.

The H753 have fewer FLASH size options (amount tested), and the H750 will likely also work in a pinch.

You might be able to determine CRYP via the Unique ID bits, or by probing the peripheral

Tips, Buy me a coffee, or three.. PayPal Venmo
Up vote any posts that you find helpful, it shows what's working..
PMath.4
Senior III

"Isn't that documented in the RM?"

Yes if you know where to look and can find it - thanks

Unfortunately the H750 doesn't have enough flash for my applications -see here for details. Quite pleased with myself on this one :)

>>Unfortunately the H750 doesn't have enough flash for my applications

Same die, it's on there..

Tips, Buy me a coffee, or three.. PayPal Venmo
Up vote any posts that you find helpful, it shows what's working..
PMath.4
Senior III

"Same die, it's on there.."

You mean that if I use a binary for the H743 on a H750 it might magically find the extra flash? How about programming it? The program is over 512Kbytes long

waclawek.jan
Super User

It's the same with all 0-ending "value line" models across all STM32 families: they are the same dies as the "full featured" ones, except portions of them (memories, some peripherals) are not tested and testing is performed under relaxed conditions (e.g. smaller temperature range).

It does not mean you should rely on the extra flash on the 'H750 - certainly not for a commercial product - and also ST may any time decide to lock the "unavailable" portions through some internal mechanism, or if there's enough demand, they may even generate the needed masksets for optimized parts which genuinely don't have those portions.

JW